A photosensitizer (PS) is a chemical species that initiates a reaction upon absorption of light. Although the chemical compositions and practical applications of PS' differ widely, they all follow the same mechanism: light is absorbed, and the PS reaches a triplet excited state.
The triplet state has a typical lifetime of microseconds and interacts with a target species, transferring energy to induce further reactions. The PS then returns to its ground state and is able to induce a new photochemical activation.
A common application of PS’ is to generate singlet oxygen (1O2) in photodynamic therapy. This is a treatment for some types of cancer and skin conditions in which PS is introduced to the body of the patient and excited with light into a singlet state.
This then transitions into a triplet state via intersystem crossing, as shown in Figure 1. Energy transfer then occurs between the excited PS and ground-state molecular oxygen (3O2), generating 1O2.
Singlet oxygen is highly reactive, destroying target cells either through direct reactions or by generating oxidized products that further propagate damage. Various spectroscopic techniques can probe this process, including fluorescence or phosphorescence of the photosensitizer (PS), transient absorption (TA) of the triplet state, and 1O2 phosphorescence.

Figure 1. Jablonski diagram showing excitation of a photosensitizer and singlet oxygen generation. The PS first absorbs light (Exc.) into S1, then undergoes intersystem crossing (ISC) into T1. T1 transfers energy (ET) to 3O2 to generate 1O2, which reacts with other species A to generate photodynamic therapy products. Image Credit: Edinburgh Instruments
There is significant research interest in identifying suitable PS’ for photodynamic therapy that generates high concentrations of 1O2. The ideal PS efficiently populates the T1 state upon excitation. In addition, the T1 state should be long-lived and resistant to quenching by species other than 3O2.
In order to optimize the PS, you need to have a strong understanding of its triplet formation mechanism. This generally involves characterizing the spectrum and lifetime of the T1 state.
Nanosecond TA, which probes the absorption of T1 as it is excited into higher-lying triplet states, is employed to achieve this, as shown in Figure 1. Additionally, direct detection of 1O2 is often used to characterize the yield of energy transfer from T1 to 3O2.
In the study discussed in this article, an Edinburgh Instruments LP980 Transient Absorption Spectrometer was used to investigate the triplet state of rose bengal, a common 1O2 PS.
The same instrument is also employed to detect 1O2 directly by laser-induced phosphorescence in the near-infrared (NIR) range, removing the requirement for a separate photoluminescence spectrometer.
Materials and Methods
For the study, a solution was prepared by dissolving the PS rose bengal in acetonitrile to an optical density of 0.1 at 510 nm and ~0.5 at 560 nm. This was then loaded into a quartz-degassing cuvette. The solution was saturated with air or degassed by three successive freeze-pump-thaw cycles for oxygen-free readings.
An Edinburgh Instruments LP980 Transient Absorption Spectrometer (shown in Figure 2) was then employed to measure the PS’ time-resolved absorption and luminescence in the visible range.
A frequency-doubled Nd:YAG laser gave 532 nm excitation pulses of 5-7 ns at a frequency of 10 Hz. The standard pulsed Xe lamp in the LP980 was utilized as the probe.
A PMT-900 and intensified CCD (ICCD) detector were also used to acquire kinetic and spectral data, respectively.
The same pump laser in the LP980 was used to study the time-resolved 1O2 phosphorescence, replacing the visible PMT-900 with an NIR-sensitive PMT-1400 and photon-counting Multichannel Scaling (MCS) electronics.

Figure 2. LP980 Transient Absorption Spectrometer. Image Credit: Edinburgh Instruments
TA and Fluorescence Spectra of Rose Bengal
Figure 3 shows the TA and fluorescence spectra obtained from rose bengal in acetonitrile. TA was used to measure the absorption from the transient triplet state, while laser-induced fluorescence (LIF) spectra measured photoluminescence emission.
Data was acquired for both degassed and air-saturated solutions. In the air-saturated sample, the triplet lifetime is influenced by the presence of oxygen, as the triplet state is quenched back to the ground state while simultaneously generating 1O2. A strong dependence of triplet lifetime on air concentration is a key characteristic of an efficient PS.

Figure 3. Transient absorption (TA) and fluorescence (LIF) spectra from rose bengal in acetonitrile acquired in an LP980 spectrometer under degassed (left) and air-saturated
(right) conditions. Measurement parameters: λpump = 532 nm, Epump = 10 mJ/pulse, Δλprobe = 1 nm, repetition rate = 10 Hz. The delays between ICCD acquisition and pump laser are indicated in the plots. Image Credit: Edinburgh Instruments
The LIF spectra shown in Figure 3 could be misinterpreted as phosphorescence from the T1 state. However, the results do not correspond with the phosphorescence spectrum of rose bengal and are identical to its fluorescence spectrum.1
The luminescence observed is too prolonged to correspond to prompt fluorescence from the S1 state. Additionally, it is quenched by oxygen, indicating that it likely originates from a triplet state. One possible explanation is delayed fluorescence, which could result from either triplet-triplet annihilation or reverse intersystem crossing in the presence of 1O2.2
TA Decays of Rose Bengal
Using time-resolved TA traces, the relaxation behavior of the triplet state can be analyzed in detail. Figure 4 illustrates examples obtained with the PMT detector in the LP980.
Both the negative ground state bleach (a) and the positive TA (b) components exhibit extended lifetimes in oxygen-depleted conditions, aligning with the qualitative trend observed in Figure 3.

Figure 4. Transient absorption decays from rose bengal in acetonitrile acquired in LP980 spectrometer at (a) 520 nm and (b) 440 nm under degassed (blue) and air-saturated (red)
conditions. Measurement parameters: λpump = 532 nm, Epump = 10 mJ/pulse, Δλprobe = 0.70 nm, repetition rate = 10 Hz. Fit results to a single exponential decay model are shown in the figure. Image Credit: Edinburgh Instruments
NIR Phosphorescence Decays of 1O2
While TA provides valuable insights into the photophysical processes and can be employed to screen several PS candidates, it is the direct detection of singlet oxygen NIR phosphorescence that remains the most reliable method for assessing PS performance.
Such measurements are generally carried out using a dedicated photoluminescence spectrometer like the Edinburgh Instruments FLS1000.3 However, the LP980 eliminates the requirement for an additional spectrometer, as it can be equipped with a photon-counting NIR PMT and identical electronics to those of the FLS1000.
This setup is not only convenient but also reduces uncertainty when comparing TA and NIR phosphorescence results, as both experiments utilize the same pump laser, sample chamber, and detection monochromator.
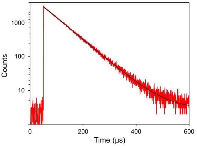
Figure 5 displays a 1O2 phosphorescence decay acquired using the LP980. Thanks to the high sensitivity of the photon-counting NIR PMT, the data was collected in just a matter of minutes. The decay fits well to a single exponential model, yielding a lifetime of 67 microseconds.

Figure 5. NIR phosphorescence decay from 1O2 acquired in LP980 exciting with 532 nm Nd:YAG laser pulses (laser scatter subtracted from the data) and multichannel scaling
detection. The exponential fit result is shown in the graph. Measurement conditions: laser energy = 5 nJ/pulse, repetition rate = 10 Hz, λem = 1275 nm, Δλem = 3 nm, 20 minutes acquisition. Image Credit: Edinburgh Instruments
Conclusions
The LP980 Transient Absorption Spectrometer successfully measured the spectrum and lifetime of the rose Bengal triplet state, as well as its visible photoluminescence and NIR phosphorescence of its singlet oxygen product.
The instrument’s flexible configuration enables comprehensive photophysical characterization of both the photosensitizer and singlet oxygen.
Acknowledgments
Produced from materials originally authored by Maria Tesa from Edinburgh Instruments.
References
- Penzkofer, A., Simmel, M. and Riedl, D. (2011). Room temperature phosphorescence lifetime and quantum yield of erythrosine B and rose bengal in aerobic alkaline aqueous solution. Journal of Luminescence, (online) 132(4), pp.1055–1062. https://doi.org/10.1016/j.jlumin.2011.12.030.
- Scholz, M., et al. (2013). Singlet oxygen-sensitized delayed fluorescence of common water-soluble photosensitizers. Photochemical & Photobiological Sciences, (online) 12(10), pp.1873–1884. https://doi.org/10.1039/c3pp50170a.
- Tesa, M. (2024). Detection of Singlet Oxygen by Photoluminescence Spectroscopy. ResearchGate. (online) https://doi.org/10.13140/RG.2.2.29363.03361.

This information has been sourced, reviewed and adapted from materials provided by Edinburgh Instruments.
For more information on this source, please visit Edinburgh Instruments.