Sensi+ NG is a compact natural gas contaminant analyzer designed around Off-Axis Integrated Cavity Output Spectroscopy, an innovative tunable diode laser (TDL) technology.

Image Credit: Maksim Safaniuk/Shutterstock.com
The device analyzes corrosive compounds like hydrogen sulfide, carbon dioxide, water, and oxygen in complex, time-varying natural gas streams.
Every field-installed analytical device will be subjected to fluctuating ambient temperatures, whether due to diurnal or seasonal cycles - this is unavoidable. Temperature fluctuations can affect a variety of internal components, resulting in a cumulative detrimental impact on final measurements.
Electronic components can change both the principal instrument signal and the peripheral temperature and pressure sensors. Examples include resistors, whose resistance varies with temperature, and amplifiers, whose offset and gain may wander.
Thermal expansion or tension can cause alignment issues in opto-mechanical components, while spectroscopic absorption characteristics vary in strength and form with gas temperature.
Some instruments are thermally controlled by isolating the entire analyzer, or particularly sensitive components, from ambient temperature fluctuations and using heaters or thermoelectric coolers.
This is necessary when the electronics, optomechanical components, or spectroscopic approach are too sensitive to temperature changes to function without thermal control. Unfortunately, temperature control increases an instrument's size, weight, and power consumption, and thereby its cost.
Over the last 15+ years, ABB's OA-ICOS laser absorption technology has been at the heart of some of the world's most dependable gas analyzers, used in harsh environments where the best performance is required.
OA-ICOS is an optically simple system that only needs a collimating optic, two highly reflecting mirrors, and a collection lens. In addition, the off-axis alignment does not require fine-tuning to match cavity modes.
This strong opto-mechanical design reduces the potential thermal impacts that hamper other TDL technologies based on cavity ringdown spectroscopy or multi-pass cells.
This tried-and-true technology has been enhanced with specialized electronics and new improvements in spectroscopic analysis algorithms to provide precise measurements under a variety of situations.
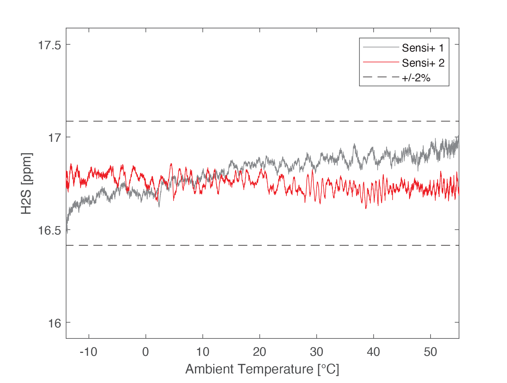
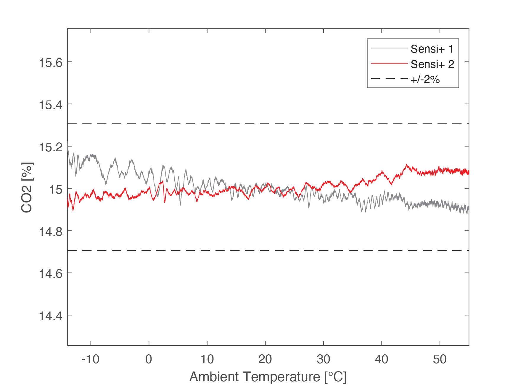
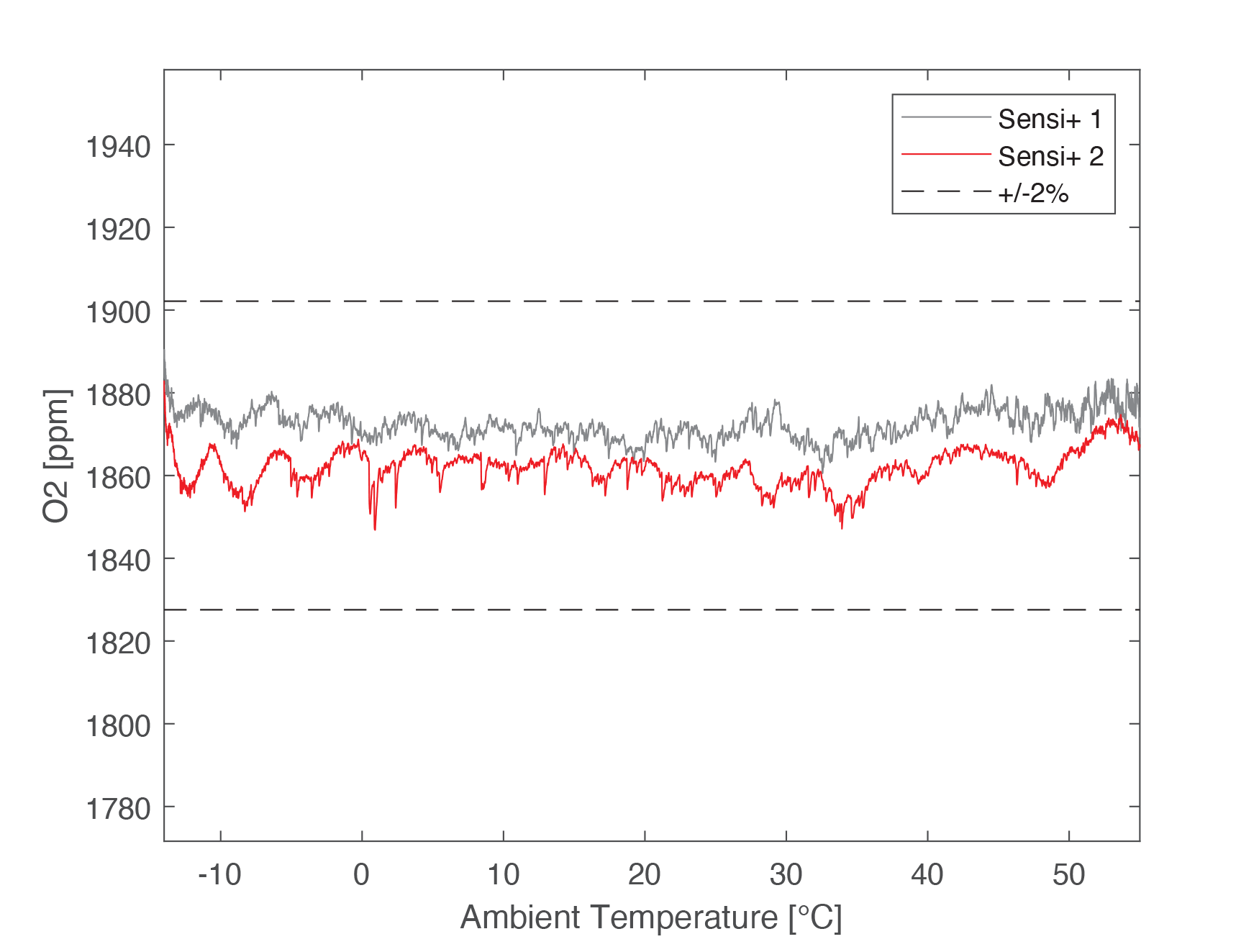
Sensi+ NG analyzers have been comprehensively tested for reliability and performance over the entire operating temperature range -14 to 55 °C (7 to 130 °F). Measurements of all gas pollutants at varying concentrations were repeatable and precise.
To demonstrate this, two Sensi+ NG analyzers designed to detect H2S, CO2, H2O, and O2 were mounted in parallel inside an environmental chamber measuring a contaminated natural gas stream, with the ambient temperature increasing at 15 °C per hour.
Figure 1 below shows both analyzers exhibited small, bounded oscillations in the contaminant gases, yielding results within ±2 % of the nominal value.
While ambient temperature variation is to be expected in field-deployed analytical devices, temperature-dependent measurement should not be.
The simplicity and resilience of OA-ICOS work in tandem to mitigate the effects of these variations. Sensi+ NG enables reliable testing of natural gas pollutants across a range of conditions.




Figure 1. Instrument response from two Sensi+ NG analyzers measuring a natural gas stream in an environmental chamber while the ambient temperature increased. Image Credit: ABB Measurement and Analytics Analytical Products

This information has been sourced, reviewed, and adapted from materials provided by ABB Measurement and Analytics Analytical Products.
For more information on this source, please visit ABB Measurement and Analytics Analytical Products.