Efficient process control and consistent plant operations are the key to success in the petroleum refinery. One of the main issues faced in the refining process is corrosion, due to which the efficiency of the refining process decreases which negatively impacts the production and economic costs.
The two main corrosion causing components in the refining process are naphthenic acids and sulfur species.Huge annual savings can be made by reducing the need for costly treatment chemicals and the avoidance of unplanned shut downs if the acidity of crude oil and other related process oils is monitored effectively.
The established method for the analysis and determination of the total acid number (TAN) in petroleum products is titration. Conventional methods like ASTM D664 are not suited for petroleum feed stocks, crude oil and refinery fractions. Often the measuring surface of the potentiometric electrode, which is employed in conventional analyses, is coated with a waxy crude oil or the asphaltenes precipitate present in crude oil.
Such coatings on the potentiometric electrode can cause a decline in the response time. Also to acquire a stable potentiometric readings, a hydration layer is required, which is dehydrated by solvent. Although this layer can be re-hydrated, it results in an increase in the analysis time per sample by 2-3 minutes.
Conventional potentiometric TAN titrations are not only affected by electrode corruption, but also by the need of up to 120mL of the solvent, for which the analyst has to titrate to an alternate buffer end point in scenarios where a true inflection is not evident.
A suitable alternate to conventional titration is thermometric titration. The thermometric titration method improves the effectiveness of analysis by incorporating a sensor that is not affected by difficult matrices and only requires small volumes of solvent. Thermometric titration means the analysis is completed within two minutes. Further, a close correlation is evident between thermometric TAN titration data, and conventional potentiometric TAN titration data which enables implementation of this method in refineries.
Samples
The expected concentration of the crude oil samples was 0.8-1.2mg KOH/g, and the two types of sample used were desalted crude and raw crude process oils. The expected concentration of the process oils used was 1.2-1.8 mg KOH/g. The different types of process oils used were as below:
- Vacuum Light Gas Oil
- Vacuum Heavy Gas Oil
- Atmospheric Heavy Gas Oil
- 650 Endpoint Gas Oil
Instruments
The four principal components that make up the Metrohm Thermometric TAN Analyzer (Figure 1) are the thermoprobe sensor, Titrotherm thermometric titrator, tiamo™ Titration Software and Dosino™ dosing system. The data processing requirements for carrying out fast and responsive titrations are provided by the Titrotherm thermometric titrator.
The Metrohm tiamo™ Titration Software has the unique capability of processing large number of data points at the rate of 10 measurements every second which is critical for reliable detection of the endpoint. The titrator is operated using this software.
.jpg)
Figure 1. Metrohm Thermometric TAN Analyzer
Using the Metrohm Thermoprobe is highly advantageous due to its high sensitivity and fast response time. It does not require a reference system or calibration since only ΔT is significant, not the absolute temperature. The thermoprobe does not require any maintenance and the likelihood of clogging of the membrane measuring surface or diaphragm is also eliminated.
Compliance tracking is made easier by integrating traceability functions into the sensor. The highly resilient design of the Thermoprobe enables easy cleaning between titrations by dipping it in stirring solvent. Despite coating on the electrode, the sensor will show a response even if the sample just flows through the protective cage.
Patented Dosino dosing technology from Metrohm is the most accurate liquid handling system available in the industry. There are no air bubbles formed due to the top-down dispensing method, which enables fully automated analysis. Both automated and stand-alone configurations of the Metrohm Thermometric TAN Analyzer can be implemented. The stand alone configuration has a small footprint, and is suitable for processes that need a walk-up analysis station.
In case of the automated configuration (Figure 2) the solvent and the indicator are combined and added in the form of slurry in a single step. This configuration is best suited for optimizing safety by minimizing contact between analysts and solvent, sample and indicator, sample batches and also in lab environments in which analysts undertake multiple tasks. Through automated configuration very high degrees of precision and accuracy can be achieved due to the consistency in the treatment of the electrodes and each sample between titrations.
.jpg)
Figure 2. Metrohm Automated Thermometric TAN Analyzer
Table 1 provides the details of the instruments used.
Table 1. Instruments used in the analysis
| 859 Titrotherm |
2.859.1010 |
| 804 Ti Stand |
2.804.0040 |
| 802 Propeller Stirrer |
2.802.0040 |
| (2) 800 Dosino |
2.800.0010 |
| Dosing Unit, 20 mL |
6.3032.220 |
| Dosing Unit, 50 mL |
6.3032.250 |
| Electrodes |
|
| Thermoprobe |
6.9011.020 |
The various reagents used are listed below:
- Titrant - 0.1N KOH in IPA
- Sample Solvent - 75:25 Xylene:IPA
- Paraformadehyde - >95% pure, Sigma-Aldrich, Cat. 158127
Dry benzoic acid with a purity of 99.5% is used as the standard solution.
Sample Preparation
This analysis did not involve any additional sample preparation steps. Certain samples required pre- dissolution in 10mL of xylene or mild warming before titration. Samples that are warmed to a temperature less than 60°C can be effectively titrated without a loss in precision or resolution.
Analysis
Dry benzoic acid was used to standardize the titrant by taking a known amount into a plastic beaker to which 30mL of the sample solvent was added, followed by titration. Four samples of different weights were subjected to standardization titration, and a liner regression plot was developed in tiamo™.
The regression plot provided the accurate concentration of the titrant, which was stored to the titration dosing unit. A set of four thoroughly mixed aliquots with masses that differed by 2g roughly for each sample were weighed into a disposable plastic beaker.
The next step was the dosing of the solvent with 30mL of the solvent, followed by mixing of the sample. Next, roughly 0.5g of dry paraformaldehyde was added to the sample manually. Thorough mixing of the sample was allowed, and then, it was titrated to a thermometric endpoint with c(KOH)=0.1mol/L in IPA.
The acquired data was subjected to a linear regression to obtain a blank value; this was followed by reprocessing thr raw data to derive the TAN concentration. These steps were performed twice for each of the samples, totaling to eight titrations per sample.
The parameters are mentioned in Table 2:
Table 2. Parameters
| |
|
| Titration |
TET |
| Dosing rate |
1 mL/min |
| Filter factor |
50-75 |
| Damping until |
0.2 mL |
| Stop volume |
2.5 mL |
| Thermometric evaluation |
exothermic |
| EP criterion |
-50 |
Calculation
Titrant Standardization
.jpg)
| c(titrant): |
Concentration of the titrant in mol/L |
| Slope: |
Linear regression performed in tiamo™ for standard analysis |
| 8.1887: |
Factor for converting mL/g to mol/L of benzoic acid |
TAN Calculation
.jpg)
| TAN: |
Total acid number in mg KOH/g |
| VEP1: |
Titrant consumption in mL |
| Blk: |
Blank volume in mL |
| c(titrant): |
Concentration of titrant in mol/L |
| M[KOH]: |
Formula mass of KOH 56.11 g/mol |
| WS: |
Sample weight in g |
Results and Discussion
The obtained thermometric blank volumes that were obtained from the 12 blank determinations- two for each sample, were similar for all the oil types and the mean blank value was 0.073mL. For these blanks the absolute deviation was 0.017mL. This deviation translates to a ±0.018mg KOH/g variance in concentration in a 5g sample.
Based on the data obtained for various crude oil and process samples, it can be concluded that a blank value was not needed. In case the blank value was greater than 0.1mL, there was a need for re- analysis or preparation of a fresh titrant and solvent. Titrant standardization result is summarized in Table 3.
Table 3. Titrant standardization result
| c(KOH) = 0.1 mol/L in IPA titrant standardization |
0.0966 mol/L |
The selection of the endpoint of titration was automatically carried out without the need for manual integration. A second derivative formula is rapidly applied by the tiamo™ Titration Software to confirm the automatic selection of endpoint. Minimum volumes of titrant that averaged 2.15mL were used to reach the thermometric endpoint rapidly at an average time of 59.4s. The thermometric sensor was cleaned using a stream of solvent present in a rinse bottle. Thermometric TAN results, thermometric blank titration results and statistics are presented in Table 4 and 5.
Table 4. Thermometric TAN results
| Sample |
Mean Thermometric TAN (mg KOH/g) |
%RSD (n=8) |
| Desalted Crude |
0.76 |
2.1% |
| Raw Crude |
0.73 |
1.1% |
| Vacuum Light Gas |
1.23 |
0% |
| Vacuum Heavy Gas |
1.25 |
0.8% |
| Atmsp. Heavy Gas |
1.15 |
1.2% |
| 650 Endpoint Gas |
0.73 |
1.1% |
Table 5. Thermometric blank titration results and statistics
| Sample |
Average Thermometric Blank (mL) |
R2 |
| Desalted Crude |
0.082 |
1.000 |
| Raw Crude |
0.097 |
1.000 |
| Vacuum Light Gas |
0.071 |
1.000 |
| Vacuum Heavy Gas |
0.050 |
1.000 |
| Atmsp. Heavy Gas |
0.069 |
1.000 |
| 650 Endpoint Gas |
0.067 |
1.000 |
| Potentiometric Blank |
0.084 |
NA |
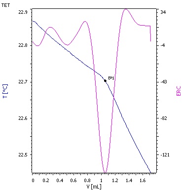
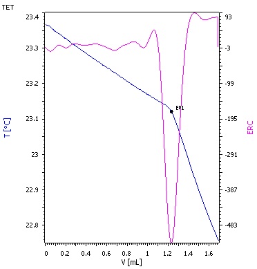
Figures 3-8 illustrate the analysis results:
.jpg)
Figure 3. Titration curve for raw crude
.jpg)
Figure 4. Titration curve for desalted crude
.jpg)
Figure 5. Titration curve for vacuum light gas oil
.jpg)
Figure 6. Titration curve for vacuum heavy gas oil
.jpg)
Figure 7. Titration curve for atmospheric heavy gas oil
.jpg)
Figure 8. Titration curve for 650 endpoint gas oil
Conclusion
The acidity of crude oil and other process oils used in refineries can be accurately and reliable determined by thermometric titration. Thermometric titrations can be performed quickly and require minimal volumes of sample, titrant and solvent, compared to conventional methods. As a result thermometric titrations are more economical in the determination of the acidity in crude and refinery process oils.
.png)
This information has been sourced, reviewed and adapted from materials provided by Metrohm AG.
For more information on this source, please visit Metrohm AG.